
涡街流量计的测量原理与影响其准确度的因素分析
涡街流量计测量计原理
把一个非流线型阻流体(BluffBody)垂直插入管道中,随着流体绕过阻流体流动,产生附面层分离现象,形成有规则的旋涡列,左右两侧旋涡的旋转方向相反,这种旋涡称为卡门涡街,如图1所示。

图1 涡街形成的原理图
根据卡门的研究,这些旋列多数是不稳定的,只有形成相互交替的内旋的两排旋涡,且涡列宽度d和同列相邻的两旋涡的间距l之比满足一个常数时,这样的涡列才是稳定的。(对于圆柱形旋涡发生体这个比例为0.281)[2]。
根据卡门涡街原理,旋涡频率f与管内平均流速u有如下关系:
(1)
式中:u1-旋涡发生体两侧平均流速(m/s);d-旋涡发生体特征度;St-斯特劳哈尔数;m-旋涡发生体两侧弓形面积和管道内横截面积之比。
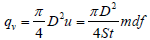
由此可得瞬时体积流量与涡街频率的关系为:
(2)
从上式可以得到仪表系数K为:
(3)
式中:qv-通过流量计的体积流量(L/s);f-流量计输出的信号频率;k-涡街流量计的仪表系数(1/L)。
由上式可以看出,在St为常数时,仪表系数k仅与旋涡发生体的几何参数有关,而与流体物性和组分无关。因此,涡街流量计既可以测量液体,也可以测量气体[3]。用水标定的涡街流量计可以用来测气体。

图2 St数与雷诺数的关系
图2为斯特劳哈尔数与雷诺数的关系。从上图可以看出管道内流体的雷诺数若小于5×103时,测量将无法进行,因此选型时要注意涡街流量计的最小流量的限制[4-5]。随着科学技术的发展,目前也有一些厂家的涡街流量计可对不同雷诺数段的St值进行分段补偿,如Endress+Hause的Prowirl73型的涡街流量计。
1、旋涡发生体迎流面堆积的影响
如果被测流体中存在黏性颗粒,则可能会逐渐堆积在旋涡发生体迎流面上,使其几何形状和尺寸发生变化,因而流量系数也相应变化,因此在使用中要注意清理。
2、温度对测量的影响
温度变化对测量体几何尺寸变化的影响有两部分组成,一是旋涡发生体宽度发生变化引起的;另一个是管道内经变化引起的。消除此影响一般是对K系数进行修正。目前一些厂家的流量计已对温度的影响在软件中进行固定温度修正和实时温度修正。
3、配管内经与流量计内经不一致造成的影响
一般进口仪表的内经是按照国外标准生产的,而在国内的配管内经是国内标准的,两者之间的差别有时很大,对于配管内经与流量计内经不一致,可分为以下情况:
3.1、当管道实际内经大于仪表内经时,两者之间的差值不超过流量计内经的3%,这时造成的误差很小,对测量无影响,可无需修正。
3.2、当管道内经小于仪表内经,且两者之差不超过流量计内经的2%时,产生的误差较小,可通过对仪表系数的修正进行补偿。
3.3、当管道内经与仪表内经相差较大,由于流体经过这种突变造成的流体扰动使得涡街流量计 的测量变得不再稳定和可靠,造成的误差无法通过修正K系数来补偿。此时需要流量计前后安装足够的与流量计内经一致的直管段或流量计前安装流场优化整流器,但安装整流器后仍需一定的直管段。涡街流量计的安装要点
(1)选择合理的安装场所。如避开强电力设备、高频设备、强电源开关设备;避开高温热源和辐射热源的影响;避开强烈振动。
(2)上下游直管段满足要求。不同的阻流件对流场的影响是不一样的,在突缩和突扩管段可能在肩部形成二次流,在弯管位置在流动方向突然改变的弯管内外侧将形成二次流,在流通截面积突然改变的阀门位置流动也将受到影响。因此不同阻流件对直管段的要求也不同,见图3,如流量计前有一个弯头时,前面的直管段要求20倍的管道内径,后面的直管段要求5倍的管道内径。而流量计前有两个弯头时,前面的直管段要求40倍的管道内径,后面的直管段要求5倍的管道内径。
(3)有振动的管道,涡街流量计表头水平安装,对于振动较强的管系,设置减振装置。
(4)如有可能安装旁通管,便于检修。
(5)测量含有少量异相的流体时,注意传感器的安装位置。如测量介质中还有固体物时,流量计应安装在不易沉淀的地方;而测量介质为气体,其中含有液体时,应在流量计前安装排放阀,否则会产生气锤,损坏传感器。
(6)介质温度较高时,流量计表头向下安装,或选用分体式流量计。
(7)涡街流量计信号传输电线应采用金属屏蔽电线,要有良好的接地措施。遵循一点接地原则。
(8)管道隔热保温。一般测量蒸汽时,管道隔热保温是防止能量散失的重要手段,当对涡街流量计进行隔热处理时,应确保涡街流量计的传感器和电路部分暴露在外,确保热量向外射以防止仪表电子部件过热。
(9)为防止气穴现象发生,涡街流量计进口压力要满足要求:
(4)
Δp-涡街流量计的压损;Pv-使用温度下的液体的绝对饱和蒸汽压。

图3 涡街流量计直管段最小要求
上一篇:阿牛巴流量计工作原理及计算公式
下一篇:电磁流量计的选用与校准方法
版权所有 Copyright(©)2009-2011 江苏力科仪表有限公司
电话号码:0517-86909222 商务热线:15305232668 传真:0517-86909221
地址:江苏省金湖县工业园
技术支持:易品网站建设专家 苏ICP备13047422号-2